2025年年初,太阳成集团122ccvip22级本科生(在读大三)王芷含在EI、核心期刊《中国石油勘探》上发表了题为《基于树结构Parzen估计器优化后两层Stacking模型的岩石脆性指数预测》的论文(图1,共18页)。全部作者均来自太阳成集团122ccvip师生,本科生王芷含为论文第一作者,其导师温韬教授为通讯作者。论文借助树结构Parzen估计器和两层Stacking集成学习模型的新方法,在岩石脆性指数预测中表现出优秀的性能。

图1 论文首页
岩石脆性是决定岩石在加载和卸载条件下破坏特性的关键参数,具有重要的工程意义,已经在海上低渗油藏资源的压裂研究、非常规储层油气的甜点范围预测和水力压裂研究等方面做出了实际工程贡献。传统脆性指数评价方法依赖岩心实验,成本高、周期长。随着机器学习与人工智能的发展,基于数据驱动的脆性指数预测方法成为研究热点,但模型的超参数寻优、泛化能力和稳定性仍是亟待解决的问题。
本文基于树结构Parzen估计器(TPE)和两层Stacking集成学习模型,系统研究了其在岩石脆性指数预测中的可行性:TPE作为一种高效的超参数优化算法,能够在复杂参数空间中快速定位最优解,从而提升基学习器的性能;两层Stacking模型能捕捉不同算法对数据特征的敏感性和差异性,对前一层的输出结果进行再学习与优化,从而降低单一模型所带来的偏差与方差问题(图2)。

图2 TPE-Stacking融合具体过程
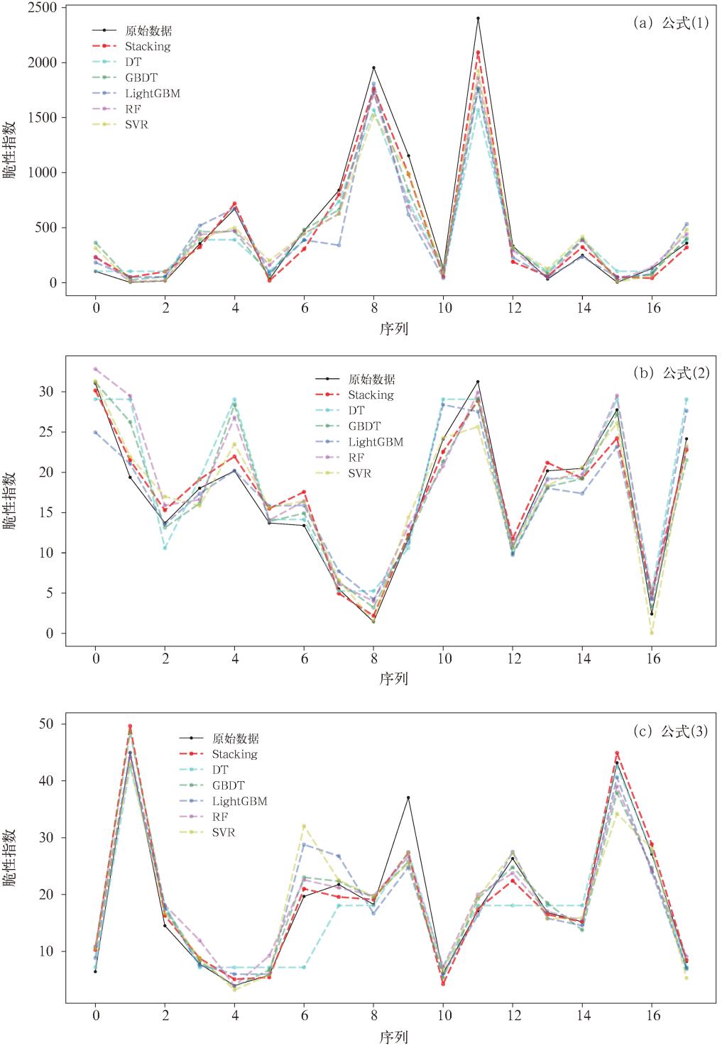
通过训练,所构建的TPE-Stacking集成模型与各个基模型相比,总体发挥相对较为稳定,不仅在正常预测时拟合较好,而且在面对异常数据波动时相较于其他模型表现着更为不错的泛化能力(图3)。经数据校验,本文构建的TPE-Stacking模型在预测脆性指数时其决定系数R2分别达到了0.967、0.950和0.937,均为各组数据最优成绩;TPE-Stacking模型预测的平均绝对误差MAE分别做到了96.08、1.662和2.059,在与其他基模型对比时相对更低。这说明本文构建的基于树结构Parzen估计器优化后的两层Stacking模型可以较为准确、可靠地预测岩石脆性指数。

图3 各模型预测结果折线图
本文提出了一种面向脆性指数的机器学习应用,是对目前采用岩心实测数据进而计算脆性的方法的重大革新,是人工智能等技术在油气领域的重要方向,也揭示了人工智能方法在地球科学研究中蕴含的巨大潜力。随着数据驱动与人工智能算法的不断发展,人工智能与地球科学的交叉融合展现出前所未有的广阔前景。从理论探索到工程应用,这一领域的创新成果正在逐步推动非常规油气储层评价与开发方式的变革。
论文链接:https://doi.org/10.3969/j.issn.1672-7703.2025.02.009
第一作者简介:王芷含,太阳成集团122ccvip地质学专业工程地质方向22201班员工。获“创新湖北·青力青为”湖北省第十五届“挑战杯”老员工课外学术科技作品竞赛一等奖,学期最高绩点3.93,参与发表发明专利7项、SCI、EI论文4篇,其中以第一发明人授权国家发明专利1项,第一作者发表SCI、EI论文2篇。